Parent Directory | | |
imagens | 2015-01-27 16:16 | - |
4_as_modelo.htm | 2015-04-24 22:15 | 20k |
4_cs_modelo.htm | 2015-04-24 22:15 | 18k |
4_ps_modelo.htm | 2015-04-24 22:15 | 18k |
5w_2h_modelo.htm | 2015-04-24 22:15 | 19k |
aartedaguerra.htm | 2015-04-24 22:15 | 28k |
abordagemcontingencial.htm | 2015-01-09 01:27 | 14k |
abordagemcontingencial.htm.htm | 2015-04-24 22:15 | 18k |
abordsistemgestao.htm | 2015-04-24 22:15 | 19k |
abovetheline.htm | 2015-04-24 22:15 | 17k |
acao_corretiva.htm | 2015-04-24 22:15 | 19k |
acao_preventiva.htm | 2015-04-24 22:15 | 19k |
accenture.htm | 2015-04-24 22:15 | 17k |
acidtest.htm | 2015-04-24 22:15 | 19k |
acordo_de_confidencialidade.htm | 2015-04-24 22:15 | 17k |
acreditacao-da-qualidade.htm | 2015-04-24 22:15 | 18k |
acreditacao.htm | 2015-04-24 22:15 | 18k |
activityvalueanalysis.htm | 2015-04-24 22:15 | 19k |
activo.htm | 2015-04-24 22:15 | 18k |
activo_circulante.htm | 2015-01-27 09:29 | 15k |
adairjohn.htm | 2015-04-24 22:14 | 21k |
adairjohn.png | 2015-01-09 01:26 | 96k |
adhocracia.htm | 2015-04-24 22:15 | 23k |
afectacaoeficaz.htm | 2015-04-24 22:15 | 16k |
afericao.htm | 2015-04-24 22:14 | 18k |
after_marketing.htm | 2015-01-27 09:29 | 14k |
aida.htm | 2015-04-24 22:15 | 17k |
alavancafinanceira.htm | 2015-01-27 09:28 | 17k |
aldeiaglobal.htm | 2015-01-27 09:27 | 15k |
algoritmowagnerwhitin.htm | 2015-04-24 22:14 | 17k |
aliancaestrategica.htm | 2015-04-24 22:14 | 19k |
ambito_competitivo.htm | 2015-01-27 09:28 | 14k |
amostra_estratificada.htm | 2015-04-28 13:58 | 17k |
ampu.htm | 2015-01-30 19:11 | 15k |
analise_custo_beneficio.htm | 2015-01-09 01:27 | 14k |
analise_de_pareto.htm | 2015-01-30 23:36 | 14k |
analise_de_risco.htm | 2015-01-30 19:27 | 15k |
analise_de_sensibilidade.htm | 2015-01-27 15:26 | 15k |
analise_economica_e_financeira.htm | 2015-01-30 23:40 | 15k |
analise_externa.htm | 2015-01-27 16:55 | 16k |
analiseestrateg.htm | 2015-01-09 01:23 | 14k |
analiseinterna.htm | 2015-02-09 18:54 | 14k |
analisemercado.htm | 2015-02-06 00:03 | 14k |
analisepest.htm | 2015-01-29 22:21 | 15k |
analiseswot.htm | 2015-01-27 09:28 | 18k |
analiseswot.jpg | 2015-01-09 01:24 | 67k |
analiseviabilidade.htm | 2015-01-28 22:02 | 17k |
anorexiaempresarial.htm | 2015-01-27 16:27 | 15k |
ansi_x12.htm | 2015-01-09 01:22 | 13k |
ansoffigor.htm | 2015-02-08 21:41 | 16k |
apoios_comunitarios.htm | 2015-01-27 09:30 | 15k |
apoiotomaddecis.htm | 2015-01-09 01:23 | 14k |
argyris_chris.htm | 2015-04-24 22:15 | 21k |
arpu.htm | 2015-02-14 22:06 | 15k |
arvore_de_decisao.htm | 2015-01-27 09:29 | 14k |
auditoria.htm | 2015-01-27 09:30 | 16k |
autofinanciamento.htm | 2015-01-29 22:01 | 16k |
autonomia_financeira.htm | 2015-01-29 21:55 | 18k |
autoridade.htm | 2015-04-24 22:15 | 19k |
avaliacao_360_graus.htm | 2015-01-09 01:23 | 15k |
avaliacao_desempenho.htm | 2015-01-27 09:28 | 21k |
balancedscorecard.htm | 2015-02-06 19:38 | 20k |
balanco.htm | 2015-02-06 00:28 | 17k |
barnard_chester.htm | 2015-02-13 23:38 | 15k |
bellowtheline.htm | 2015-02-06 00:17 | 15k |
bem_de_conveniencia.htm | 2015-01-09 01:24 | 14k |
benchmarking.htm | 2015-01-27 09:29 | 24k |
bens_e_servicos.htm | 2015-01-09 01:26 | 14k |
bhagwati_jagdish.htm | 2015-01-09 01:24 | 18k |
bootstrapping.htm | 2015-01-30 19:16 | 15k |
boston_consulting_group.htm | 2015-01-09 01:26 | 14k |
brainstorming.htm | 2015-01-30 19:19 | 15k |
brandedhouse.htm | 2015-01-09 01:26 | 21k |
brandequity.htm | 2015-01-30 19:23 | 16k |
branding.htm | 2015-04-24 22:15 | 17k |
breakevenpoint.htm | 2015-01-27 09:29 | 16k |
breakevenpoint.jpg | 2015-01-09 01:26 | 55k |
breakevenpoint2.jpg | 2015-01-09 01:25 | 14k |
burnstom.htm | 2015-01-09 01:23 | 26k |
burocraciateoriada.htm | 2015-01-09 01:25 | 16k |
business_intelligence.htm | 2015-02-06 00:05 | 14k |
businessprocessmanagement.htm | 2015-01-30 19:22 | 16k |
buyinbuyout.htm | 2015-01-09 01:26 | 12k |
cadeiadevalores.htm | 2015-04-24 22:15 | 18k |
canal_de_comunicacao.htm | 2015-01-30 23:47 | 15k |
canaldedistribuicao.htm | 2015-04-24 22:14 | 17k |
canibalizacao.htm | 2015-04-24 22:15 | 18k |
capacidade_instalada.htm | 2015-01-27 09:28 | 15k |
capex.htm | 2015-04-24 22:14 | 17k |
capital_humano.htm | 2015-01-30 19:20 | 14k |
capital_intelectual.htm | 2015-01-09 01:23 | 16k |
cash_flow.htm | 2015-01-27 09:28 | 16k |
cashandcarry.htm | 2015-01-09 01:22 | 17k |
catalogo.htm | 2015-01-09 01:25 | 16k |
catorzepontosdeming.htm | 2015-01-28 22:22 | 17k |
centro_de_lucro.htm | 2015-02-08 21:43 | 18k |
centrodecustos.htm | 2015-01-27 09:29 | 14k |
ceo.htm | 2015-01-27 09:30 | 15k |
certificacao-da-qualidade.htm | 2015-04-24 22:14 | 18k |
cfo.htm | 2015-01-09 01:27 | 17k |
chandleralfred.htm | 2015-01-09 01:27 | 20k |
ciclo_exploracao.htm | 2015-02-10 01:07 | 16k |
ciclo_pdca.htm | 2015-02-08 21:45 | 15k |
ciclovidaproduto.htm | 2015-04-24 22:15 | 21k |
ciclovidaproduto.jpg | 2015-01-09 01:26 | 31k |
ciencia.htm | 2015-01-08 23:39 | 14k |
ciencias_sociais_humanas.htm | 2015-01-09 01:25 | 13k |
cincos.htm | 2015-01-27 09:27 | 18k |
cio.htm | 2015-01-09 01:25 | 16k |
circuito_distribuicao.htm | 2015-01-30 23:46 | 15k |
circulosdequalidade.htm | 2015-04-24 22:14 | 19k |
cliente.htm | 2015-02-06 20:40 | 15k |
climaorganizacional.htm | 2015-01-27 09:29 | 14k |
cmo.htm | 2015-01-09 01:25 | 16k |
coaching.htm | 2015-01-27 09:27 | 19k |
cobert_enc_fin.htm | 2015-04-24 22:14 | 18k |
colaborador.htm | 2015-01-27 09:29 | 13k |
comercializacao.htm | 2015-01-09 01:24 | 13k |
competencias_sociais_humanas.htm | 2015-01-09 01:25 | 17k |
competencias_tecnicas.htm | 2015-02-14 21:27 | 14k |
competenciasconceptuais.htm | 2015-02-10 00:52 | 15k |
competitive_advantage_livro.htm | 2015-04-24 22:15 | 17k |
competitividade.htm | 2015-01-27 09:24 | 14k |
comportamento_do_consumidor.htm | 2015-01-09 01:26 | 14k |
comunicacao.htm | 2015-01-27 09:28 | 29k |
comunicacao_organizacional.htm | 2015-01-09 01:24 | 15k |
comunicacao_social.htm | 2015-01-09 01:25 | 14k |
concorrencia.htm | 2015-01-27 09:24 | 14k |
concorrente.htm | 2015-01-09 01:24 | 14k |
conhecimento_empirico.htm | 2015-01-09 01:23 | 13k |
consorcio.htm | 2015-01-27 09:24 | 15k |
consumidor.htm | 2015-01-09 01:26 | 13k |
contabilidade_de_gestao.htm | 2015-01-27 09:29 | 15k |
contabilidade_geral.htm | 2015-01-09 01:25 | 14k |
contabilista.htm | 2015-01-09 01:24 | 13k |
contexto_economico.htm | 2015-01-09 01:24 | 17k |
contexto_politico_legal.htm | 2015-01-09 01:25 | 17k |
contexto_socio_cultural.htm | 2015-01-09 01:22 | 18k |
contexto_tecnologico.htm | 2015-02-14 00:38 | 16k |
continuumlideranca.htm | 2015-01-30 23:36 | 16k |
continuumlideranca.jpg | 2015-01-09 01:24 | 62k |
controlo.htm | 2015-04-24 22:15 | 20k |
controlo_projecto.htm | 2015-01-09 01:25 | 14k |
controlo_trabalho.htm | 2015-01-08 23:39 | 14k |
controlodegestao.htm | 2015-04-24 22:14 | 19k |
coo.htm | 2015-01-09 01:24 | 16k |
coopeticao.htm | 2015-01-27 09:30 | 17k |
coordenacao.htm | 2015-01-27 09:29 | 15k |
corecompetence.htm | 2015-01-27 09:30 | 15k |
corporate_governance.htm | 2015-04-24 22:15 | 19k |
corporate_strategy.htm | 2015-01-27 09:24 | 14k |
credor.htm | 2015-01-09 01:26 | 14k |
crosbyphilip.htm | 2015-01-09 01:25 | 15k |
culturaorganizacional.htm | 2015-01-27 09:24 | 22k |
current_ratio.htm | 2015-01-09 01:24 | 14k |
curto_prazo.htm | 2015-04-24 22:15 | 17k |
custo.htm | 2015-01-09 01:25 | 14k |
custo_padrao.htm | 2015-01-09 01:26 | 14k |
custo_producao.htm | 2015-01-09 01:26 | 16k |
custos_fixos.htm | 2015-01-27 09:30 | 18k |
custos_variaveis.htm | 2015-04-24 22:14 | 17k |
dado.htm | 2015-01-09 01:25 | 14k |
decisao_racional.htm | 2015-01-09 01:24 | 14k |
delegacao.htm | 2015-01-27 09:28 | 15k |
demonstracao_resultados.htm | 2015-01-27 09:29 | 14k |
departamentalizacao.htm | 2015-01-29 22:15 | 18k |
dezprincipiosliderancanemoto.htm | 2015-01-09 01:26 | 20k |
diagramacausaefeito.htm | 2015-04-24 22:15 | 21k |
diagramadepareto.gif | 2015-01-09 01:25 | 3k |
diagramadepareto.htm | 2015-01-27 09:29 | 16k |
diferenciacao.htm | 2015-01-29 22:19 | 16k |
dinamica_de_grupo.htm | 2015-01-09 01:23 | 14k |
direito.htm | 2015-01-09 01:25 | 14k |
disciplina_cientifica.htm | 2015-01-09 01:22 | 14k |
dissonancia_cognitiva.htm | 2015-01-27 09:29 | 14k |
distribuicao.htm | 2015-02-06 19:34 | 14k |
diversificacao.htm | 2015-01-09 01:23 | 13k |
doutoramento_honoris_causa.htm | 2015-01-09 01:26 | 14k |
downsizing.htm | 2015-01-29 22:05 | 17k |
drawback.htm | 2015-01-29 21:53 | 14k |
drucker_peter.gif | 2015-01-09 01:24 | 3k |
drucker_peter.htm | 2015-02-06 19:36 | 14k |
dumping.htm | 2015-01-09 01:26 | 13k |
e_commerce.htm | 2015-01-27 09:27 | 16k |
ebit.htm | 2015-01-29 15:28 | 16k |
ebitda.htm | 2015-01-27 09:28 | 18k |
economia.htm | 2015-01-09 01:25 | 14k |
economias_de_escala.htm | 2015-01-29 14:59 | 15k |
economias_de_experiencia.htm | 2015-01-09 01:26 | 17k |
economiasdegama.htm | 2015-01-29 15:01 | 15k |
economista.htm | 2015-01-09 01:26 | 16k |
eficacia.htm | 2015-01-27 17:18 | 14k |
eficiencia.htm | 2015-01-27 17:20 | 14k |
eficiencia_trabalho.htm | 2015-01-29 15:04 | 20k |
emerson_harrington.htm | 2015-01-09 01:22 | 14k |
empowerment.htm | 2015-01-27 16:49 | 15k |
empresa.htm | 2015-04-24 22:14 | 24k |
empresas_consultoria.htm | 2015-01-09 01:23 | 14k |
endomarketing.htm | 2015-01-28 22:10 | 14k |
endorsedbrands.htm | 2015-02-06 20:39 | 19k |
engenharia_aeronautica.htm | 2015-01-09 01:26 | 14k |
engenharia_de_valor.htm | 2015-02-10 00:01 | 15k |
engenheiro.htm | 2015-02-14 00:36 | 17k |
engenheiro_mecanico.htm | 2015-01-09 01:26 | 14k |
envolvente_contextual.htm | 2015-01-27 09:29 | 15k |
envolvente_transaccional.htm | 2015-02-09 00:06 | 16k |
envolventeexterna.htm | 2015-01-09 01:22 | 16k |
equipa_de_trabalho.htm | 2015-01-09 01:22 | 14k |
equipasautogeridas.htm | 2015-01-27 09:28 | 15k |
escolaclassicagestao.htm | 2015-01-27 16:59 | 15k |
escolacomportamental.htm | 2015-02-06 00:24 | 15k |
escrita_executiva.htm | 2015-02-06 19:32 | 14k |
escritalivrecrawford.htm | 2015-01-27 09:28 | 14k |
especializacao.htm | 2015-01-09 01:24 | 14k |
espirito_equipa.htm | 2015-01-09 01:25 | 13k |
estagio.htm | 2015-01-29 22:03 | 14k |
estilosliderancalikert.htm | 2015-01-09 01:23 | 25k |
estrategia.htm | 2015-01-27 09:27 | 18k |
estrategiademarketing.htm | 2015-01-30 19:28 | 14k |
estrategiarecompetitiva.htm | 2015-01-27 09:29 | 16k |
estrategiasgenericas.htm | 2015-04-24 22:14 | 21k |
estrutura_divisionalizada.htm | 2015-01-27 16:01 | 16k |
estrutura_funcional.htm | 2015-01-27 16:03 | 15k |
estrutura_hierarquica.htm | 2015-01-31 00:14 | 14k |
estrutura_matricial.htm | 2015-04-24 22:14 | 17k |
estrutura_staff_line.htm | 2015-02-06 19:48 | 14k |
estruturaemrede.htm | 2015-01-09 01:26 | 14k |
estruturaorganizacional.htm | 2015-01-27 09:28 | 16k |
estruturasmintzberg.htm | 2015-04-24 22:14 | 20k |
estudodemercado.htm | 2015-01-09 01:23 | 14k |
estudodemercado.htm.htm | 2015-02-14 21:40 | 14k |
eticanosnegocios.htm | 2015-02-14 21:30 | 17k |
experiencias_asch.htm | 2015-04-24 22:14 | 17k |
experiencias_de_hawthorne.htm | 2015-01-31 00:19 | 15k |
exploracao.htm | 2015-01-09 01:25 | 14k |
exworks.htm | 2015-04-24 22:15 | 18k |
fabrica.htm | 2015-01-09 01:26 | 14k |
factorescriticosdesucesso.htm | 2015-02-06 19:43 | 14k |
factoring.htm | 2015-01-09 01:24 | 12k |
fayolhenri.htm | 2015-01-27 09:28 | 23k |
ferramentasdaetica.htm | 2015-02-14 00:34 | 17k |
floorpricing.htm | 2015-01-09 01:22 | 14k |
fluxograma.htm | 2015-01-29 22:13 | 14k |
fonte_de_financiamento.htm | 2015-02-08 23:59 | 16k |
ford_henry.htm | 2015-01-09 01:23 | 14k |
fornecedor.htm | 2015-01-09 01:26 | 16k |
franchising.htm | 2015-02-10 00:53 | 15k |
fundo_de_maneio.htm | 2015-01-27 09:30 | 19k |
gantt_henry.htm | 2015-01-09 01:22 | 14k |
garfild_m_maynard.htm | 2015-01-09 01:23 | 14k |
gestao-da-qualidade.htm | 2015-04-24 22:14 | 21k |
gestao.htm | 2015-04-24 22:15 | 22k |
gestao_comercial.htm | 2015-01-27 09:29 | 13k |
gestao_da_producao.htm | 2015-04-24 22:15 | 20k |
gestao_de_stocks.htm | 2015-02-09 21:48 | 16k |
gestao_do_conhecimento.htm | 2015-01-09 01:26 | 17k |
gestao_participativa.htm | 2015-01-27 16:38 | 14k |
gestao_por_projectos.htm | 2015-02-09 21:41 | 14k |
gestao_por_resultados.htm | 2015-01-09 01:22 | 17k |
gestao_por_sistemas.htm | 2015-01-09 01:26 | 17k |
gestaofinanceira.htm | 2015-04-24 22:15 | 25k |
gestaomudanca.htm | 2015-02-08 23:48 | 16k |
gestaoparaaqualidadetotal.htm | 2015-01-27 09:29 | 16k |
gestaoporactividades.htm | 2015-02-08 23:39 | 15k |
gestaoporcampanhas.htm | 2015-01-09 01:24 | 17k |
gestaoporcrisesouproblem.htm | 2015-01-09 01:22 | 17k |
gestaoporexcepcao.htm | 2015-04-24 22:15 | 17k |
gestaoporimpulsos.htm | 2015-01-09 01:25 | 17k |
gestaoporobjectivos.htm | 2015-01-29 15:07 | 15k |
gestaoporpressao.htm | 2015-01-09 01:26 | 14k |
gestaoprojectos.htm | 2015-04-24 22:15 | 19k |
gestaorecursoshumanos.htm | 2015-04-24 22:15 | 44k |
gestor.htm | 2015-01-27 09:29 | 15k |
gestor_de_topo.htm | 2015-01-09 01:23 | 17k |
gestor_intermedio.htm | 2015-02-08 23:57 | 14k |
gilberth_frank.htm | 2015-01-09 01:26 | 15k |
gilberth_lillian.htm | 2015-01-09 01:23 | 15k |
globalizacao.htm | 2015-01-09 01:24 | 14k |
glossariocgd.txt | 2015-01-09 01:23 | 88k |
glossarioexame.txt | 2015-01-09 01:26 | 404k |
grafico_gantt.htm | 2015-02-06 19:31 | 15k |
graficoconformidadetaguchi.htm | 2015-01-27 17:17 | 16k |
grupoestrategico.htm | 2015-01-29 22:17 | 17k |
gruponominal.htm | 2015-02-14 22:24 | 16k |
gulick_luther.htm | 2015-01-09 01:26 | 14k |
handycharles.htm | 2015-01-09 01:25 | 16k |
harvard_business_school.htm | 2015-02-14 22:08 | 15k |
harvestingstrategy.htm | 2015-02-14 21:46 | 14k |
headhunter.htm | 2015-01-09 01:24 | 13k |
herzberg_frederick.htm | 2015-01-09 01:25 | 18k |
hierarquia.htm | 2015-01-27 09:28 | 15k |
holding.htm | 2015-04-24 22:14 | 17k |
houseofbrands.htm | 2015-01-09 01:26 | 21k |
hro.htm | 2015-01-09 01:22 | 16k |
identidadecorporativa.htm | 2015-04-24 22:15 | 20k |
imagem_mercado.htm | 2015-01-09 01:26 | 14k |
imagemcorporativa.htm | 2015-01-27 09:28 | 15k |
indicador_de_liquidez.htm | 2015-01-30 19:17 | 16k |
indicadores_economicos_financeiros.htm | 2015-01-27 16:36 | 18k |
indicadores_financeiros.htm | 2015-04-24 22:15 | 18k |
indicegestao_09.htm | 2015-01-09 01:23 | 16k |
indicegestao_a.htm | 2015-04-24 22:15 | 36k |
indicegestao_b.htm | 2015-01-09 01:25 | 25k |
indicegestao_c.htm | 2015-01-09 01:24 | 64k |
indicegestao_d.htm | 2015-01-09 01:24 | 23k |
indicegestao_e.htm | 2015-01-09 01:26 | 41k |
indicegestao_f.htm | 2015-01-09 01:24 | 21k |
indicegestao_g.htm | 2015-01-09 01:23 | 35k |
indicegestao_h.htm | 2015-01-09 01:26 | 19k |
indicegestao_i.htm | 2015-01-09 01:26 | 25k |
indicegestao_j.htm | 2015-01-09 01:25 | 14k |
indicegestao_k.htm | 2015-01-09 01:23 | 17k |
indicegestao_l.htm | 2015-01-09 01:24 | 22k |
indicegestao_m.htm | 2015-01-09 01:26 | 55k |
indicegestao_n.htm | 2015-01-09 01:25 | 18k |
indicegestao_o.htm | 2015-01-09 01:23 | 22k |
indicegestao_p.htm | 2015-01-09 01:26 | 34k |
indicegestao_q.htm | 2015-01-09 01:26 | 15k |
indicegestao_r.htm | 2015-01-09 01:24 | 34k |
indicegestao_s.htm | 2015-01-09 01:23 | 32k |
indicegestao_t.htm | 2015-01-09 01:26 | 44k |
indicegestao_u.htm | 2015-01-09 01:26 | 15k |
indicegestao_v.htm | 2015-01-09 01:25 | 21k |
indicegestao_w.htm | 2015-01-09 01:23 | 16k |
indicegestao_x.htm | 2015-01-09 01:26 | 14k |
indicegestao_y.htm | 2015-01-09 01:22 | 13k |
indicegestao_z.htm | 2015-01-09 01:25 | 14k |
industria.htm | 2015-04-24 22:15 | 17k |
informacao.htm | 2015-01-09 01:23 | 14k |
inovacao.htm | 2015-04-24 22:15 | 27k |
insourcing.htm | 2015-01-09 01:22 | 12k |
instrumentos_lideranca.htm | 2015-02-09 00:08 | 15k |
integracaovertical.htm | 2015-02-09 21:35 | 17k |
internacionalizacao.htm | 2015-04-24 22:14 | 20k |
intranet.htm | 2015-01-09 01:22 | 14k |
intrapreneurship.htm | 2015-02-09 00:10 | 14k |
investigacao_desenvolvimento.htm | 2015-01-09 01:26 | 15k |
investimento_fundo_maneio.htm | 2015-01-09 01:26 | 18k |
jointventure.htm | 2015-01-09 01:25 | 13k |
justintime.htm | 2015-01-29 22:20 | 15k |
kaisen.htm | 2015-02-14 22:04 | 15k |
kaizen_costing.htm | 2015-02-06 00:34 | 15k |
kanban.htm | 2015-01-27 09:29 | 21k |
keiretsu.htm | 2015-02-14 22:03 | 15k |
knowhow.htm | 2015-01-09 01:25 | 12k |
kotlerphilip.htm | 2015-01-09 01:25 | 13k |
kpi.htm | 2015-04-24 22:15 | 17k |
lawrencepaul.htm | 2015-01-09 01:23 | 12k |
layout.htm | 2015-01-09 01:24 | 13k |
leadersthestrategie.htm | 2015-02-09 21:56 | 15k |
lean.htm | 2015-01-29 15:25 | 15k |
lean_startup.htm | 2015-01-27 09:27 | 14k |
leasing.htm | 2015-01-29 15:23 | 14k |
leisdaprevisaodeheebner.htm | 2015-01-29 15:21 | 16k |
lider.htm | 2015-01-29 15:20 | 16k |
lideranca.htm | 2015-01-29 15:17 | 17k |
liderancacusto.htm | 2015-04-24 22:15 | 18k |
linha_de_montagem.htm | 2015-01-09 01:23 | 13k |
linha_hierarquica.htm | 2015-01-09 01:25 | 16k |
liquidez_contabilistica.htm | 2015-02-14 21:48 | 15k |
livros_gestao.htm | 2015-02-14 21:33 | 31k |
logistica.htm | 2015-01-09 01:25 | 13k |
lorschjay.htm | 2015-01-09 01:23 | 15k |
lratc.htm | 2015-01-30 19:30 | 14k |
macroambiente.htm | 2015-01-09 01:23 | 17k |
madmc.htm | 2015-02-08 23:49 | 15k |
managementteams.gif | 2015-01-09 01:26 | 10k |
managementteams.htm | 2015-01-09 01:25 | 16k |
manualdaqualidade.htm | 2015-01-09 01:26 | 12k |
manualnormasgraficas.htm | 2015-01-09 01:26 | 16k |
mapa_fluxos_tesouraria.htm | 2015-01-09 01:23 | 15k |
mapaperceptual.htm | 2015-02-08 23:33 | 14k |
mapas_financeiros.htm | 2015-01-27 09:28 | 15k |
marca.htm | 2015-02-09 21:36 | 19k |
marcainstitucional.htm | 2015-01-28 22:13 | 15k |
margem_de_contribuicao.htm | 2015-02-06 00:19 | 15k |
marketing.htm | 2015-04-24 22:14 | 20k |
marketing_viral.htm | 2015-02-06 00:15 | 14k |
marketingmix.htm | 2015-01-09 01:24 | 14k |
marketskimming.htm | 2015-01-29 21:47 | 14k |
maslow_abraham.htm | 2015-02-05 23:53 | 14k |
matematica.htm | 2015-01-09 01:25 | 14k |
matriz_ansoff.htm | 2015-02-08 21:47 | 17k |
matriz_bcg.htm | 2015-04-24 22:14 | 29k |
matriz_ge_mckinsey.htm | 2015-02-09 21:44 | 37k |
matrizestrategicadowcorning.htm | 2015-01-09 01:24 | 17k |
matrizv.htm | 2015-02-14 21:54 | 16k |
mayo_elton.htm | 2015-01-09 01:23 | 14k |
mba.htm | 2015-01-09 01:26 | 17k |
mcgregor_douglas.htm | 2015-01-09 01:26 | 17k |
mckinsey.htm | 2015-01-09 01:25 | 14k |
meetup.htm | 2015-01-09 01:26 | 14k |
mercado.htm | 2015-01-31 00:49 | 14k |
merchandising.htm | 2015-02-10 01:05 | 15k |
meta.htm | 2015-01-09 01:25 | 14k |
metodo_cientifico.htm | 2015-01-09 01:26 | 14k |
metodo_trabalho.htm | 2015-01-09 01:25 | 14k |
metodoabc.htm | 2015-01-09 01:24 | 15k |
metodoabc.jpg | 2015-01-09 01:26 | 50k |
metododelphi.htm | 2015-01-09 01:25 | 15k |
microfranquia.htm | 2015-01-29 22:14 | 14k |
mintzberg_henry.htm | 2015-01-09 01:22 | 14k |
missao.htm | 2015-01-09 01:23 | 14k |
modelo5p.htm | 2015-01-28 22:04 | 19k |
modelo7p.htm | 2015-02-14 21:42 | 16k |
modelo7s.htm | 2015-01-29 21:50 | 16k |
modelo_albrecht_associates.htm | 2015-01-27 09:30 | 24k |
modelo_de_bibeault.htm | 2015-01-09 01:24 | 17k |
modelo_de_cravens.htm | 2015-01-09 01:26 | 30k |
modelo_decisional_vroom_yetton.htm | 2015-01-09 01:24 | 18k |
modelo_desenv_moral_kohlberg.htm | 2015-01-09 01:23 | 16k |
modelo_lideranca_fiedler.htm | 2015-01-09 01:22 | 16k |
modelo_sociotecnico_tavistock.htm | 2015-01-09 01:24 | 15k |
modeloanalisecrescliqernst.htm | 2015-01-09 01:22 | 23k |
modeloanalisepolfinanc.htm | 2015-01-09 01:26 | 21k |
modeloauditoriapreavaliacao.htm | 2015-01-09 01:23 | 21k |
modelocrescsustent.htm | 2015-01-09 01:22 | 16k |
modelodajustica.htm | 2015-02-09 21:38 | 15k |
modelodedireitosmorais.htm | 2015-02-09 21:40 | 16k |
modeloeoq.htm | 2015-02-09 18:58 | 21k |
modelohendon.htm | 2015-01-27 09:29 | 19k |
modeloimplementacaobonama.htm | 2015-01-09 01:26 | 16k |
modelojustintimeprice.htm | 2015-04-24 22:15 | 20k |
modelooscarmayer.htm | 2015-01-09 01:26 | 15k |
modeloporterlawer.htm | 2015-01-09 01:26 | 15k |
modeloutilitario.htm | 2015-04-24 22:14 | 19k |
modelovroomyettonjago.htm | 2015-01-09 01:24 | 19k |
motivacao.htm | 2015-01-09 01:24 | 13k |
munsterberger_hugo.htm | 2015-01-09 01:22 | 14k |
necessidades.htm | 2015-01-09 01:23 | 14k |
necessidades_basicas.htm | 2015-01-09 01:26 | 14k |
negociacao.htm | 2015-02-06 00:08 | 15k |
negocio.htm | 2015-01-09 01:26 | 14k |
networking.htm | 2015-02-14 00:40 | 14k |
newpatternsofmanag.htm | 2015-01-09 01:26 | 13k |
nichomercado.htm | 2015-04-24 22:14 | 17k |
niveis_da_etica.htm | 2015-01-09 01:25 | 16k |
niveisdagestao.htm | 2015-02-14 21:39 | 22k |
objectivos.htm | 2015-04-24 22:15 | 18k |
oferta.htm | 2015-01-09 01:26 | 14k |
ombudsman.htm | 2015-04-24 22:14 | 17k |
operario.htm | 2015-01-09 01:24 | 14k |
opex.htm | 2015-01-27 09:29 | 15k |
organizacao.htm | 2015-04-24 22:15 | 25k |
organizacao_actividade.htm | 2015-04-24 22:15 | 16k |
organizacaoformal.htm | 2015-04-24 22:15 | 17k |
organizacaoinformal.htm | 2015-04-24 22:15 | 18k |
organizacional_learning.htm | 2015-04-24 22:15 | 17k |
organizacoes_nao_empresariais.htm | 2015-04-24 22:15 | 17k |
organizacoesaprendizagem.htm | 2015-04-24 22:15 | 21k |
orgao_colegial.htm | 2015-01-09 01:24 | 16k |
outplacement.htm | 2015-02-06 19:41 | 15k |
outsourcing.htm | 2015-07-23 20:55 | 17k |
paradigma_oli.htm | 2015-02-10 00:50 | 18k |
paraiso_fiscal.htm | 2015-02-08 23:42 | 18k |
passivo.htm | 2015-04-24 22:14 | 20k |
passivo_curto_prazo.htm | 2015-01-27 16:58 | 14k |
perigos-na-seguranca-alimentar.htm | 2015-04-24 22:14 | 20k |
personalityandorganization.htm | 2015-02-08 23:55 | 15k |
pert.htm | 2015-01-28 22:06 | 18k |
peterstom.htm | 2015-01-09 01:25 | 14k |
pib.htm | 2015-04-24 22:15 | 18k |
piramidemaslow.htm | 2015-02-14 21:37 | 17k |
planeamento.htm | 2015-04-24 22:14 | 21k |
planeamento_estrategico.htm | 2015-01-27 09:28 | 15k |
planeamento_operacional.htm | 2015-02-05 23:58 | 15k |
planeamento_projecto.htm | 2015-01-09 01:23 | 14k |
planeamento_trabalho.htm | 2015-01-09 01:22 | 14k |
planodecomunicacao.htm | 2015-01-30 19:25 | 17k |
portermichael.htm | 2015-02-06 00:44 | 15k |
posicionamento.htm | 2015-04-24 22:14 | 17k |
prazo_medio_pagamentos.htm | 2015-01-27 16:43 | 14k |
prazo_medio_recebimentos.htm | 2015-01-31 00:55 | 15k |
prazo_medio_stocks.htm | 2015-02-13 23:41 | 15k |
preco.htm | 2015-01-09 01:24 | 14k |
preco_de_transferencia.htm | 2015-01-09 01:26 | 13k |
pri.htm | 2015-02-06 00:39 | 15k |
principios_gestao_fayol.htm | 2015-01-31 01:31 | 17k |
principiosdegarfield.htm | 2015-01-31 00:12 | 16k |
proatividade.htm | 2015-01-09 01:26 | 16k |
procedimento.htm | 2015-01-09 01:24 | 14k |
processo.htm | 2015-01-09 01:26 | 14k |
processo_de_compra.htm | 2015-01-09 01:26 | 14k |
processo_produtivo.htm | 2015-01-09 01:25 | 13k |
processo_tomada_decisao.htm | 2015-01-09 01:26 | 14k |
proctomaddecis.htm | 2015-01-28 22:23 | 18k |
producao.htm | 2015-01-31 00:20 | 14k |
producao_em_serie.htm | 2015-01-09 01:25 | 14k |
produtividade.htm | 2015-01-28 22:00 | 14k |
produto_ampliado.htm | 2015-01-09 01:26 | 14k |
produto_de_combate.htm | 2015-01-09 01:26 | 14k |
produto_essencial.htm | 2015-01-09 01:23 | 14k |
programa.htm | 2015-01-27 09:29 | 14k |
programa_producao.htm | 2015-01-09 01:26 | 14k |
projecto.htm | 2015-01-30 23:49 | 17k |
projecto.jpg | 2015-01-09 01:26 | 33k |
proprietario_accionista.htm | 2015-04-24 22:15 | 17k |
psicologiaindustrial.htm | 2015-01-27 09:29 | 15k |
publicidade.htm | 2015-01-27 16:53 | 14k |
qec.htm | 2015-01-09 01:26 | 20k |
qracio.htm | 2015-01-27 09:29 | 14k |
qualidade.htm | 2015-01-09 01:22 | 14k |
qualidade_trabalho.htm | 2015-01-09 01:24 | 14k |
quick_ratio.htm | 2015-02-06 00:41 | 14k |
racio_de_actividade.htm | 2015-02-06 19:46 | 16k |
racio_rotacao_activo.htm | 2015-04-24 22:14 | 17k |
racio_rotacao_clientes.htm | 2015-01-27 09:24 | 15k |
racio_rotacao_stocks.htm | 2015-01-27 09:30 | 15k |
reclamacao.htm | 2015-01-09 01:24 | 14k |
recrutamento.htm | 2015-01-27 09:28 | 16k |
recrutamento_seleccao.htm | 2015-01-27 09:28 | 15k |
recursos.htm | 2015-04-24 22:15 | 18k |
recursos_financeiros.htm | 2015-04-24 22:14 | 17k |
recursos_humanos.htm | 2015-01-09 01:26 | 13k |
recursos_materiais.htm | 2015-01-27 09:30 | 15k |
recursos_tecnologicos.htm | 2015-01-09 01:22 | 13k |
reengenharia.htm | 2015-01-27 09:27 | 15k |
relacoes_publicas.htm | 2015-01-09 01:25 | 14k |
relatorioecontas.htm | 2015-01-27 15:29 | 15k |
rendibilidade.htm | 2015-01-27 09:29 | 14k |
rendibilidade_activo.htm | 2015-01-27 09:29 | 14k |
rendibilidade_capital_proprio.htm | 2015-01-27 09:28 | 15k |
rendibilidade_investimento.htm | 2015-01-30 19:14 | 15k |
rentabilidadedaetica.htm | 2015-01-27 09:24 | 17k |
renting.htm | 2015-04-24 22:14 | 19k |
responsabilidade.htm | 2015-04-24 22:14 | 18k |
responsabilidade_social.htm | 2015-01-27 09:28 | 18k |
resultado_liquido.htm | 2015-04-24 22:14 | 18k |
reverse_marketing.htm | 2015-01-09 01:23 | 16k |
roa.htm | 2015-01-27 09:27 | 15k |
roe.htm | 2015-01-27 09:24 | 17k |
roi.htm | 2015-01-27 09:28 | 15k |
sachet_marketing.htm | 2015-04-24 22:14 | 17k |
salario.htm | 2015-01-09 01:22 | 13k |
sampling.htm | 2015-01-09 01:23 | 14k |
sbu.htm | 2015-01-09 01:24 | 13k |
schon_donald.htm | 2015-01-28 21:51 | 20k |
schon_donald.png | 2015-01-09 01:22 | 26k |
sector_de_actividade.htm | 2015-01-27 16:51 | 16k |
segmentacaomercado.htm | 2015-04-24 22:15 | 19k |
segmento_mercado.htm | 2015-04-24 22:15 | 18k |
seissigma.htm | 2015-01-27 09:28 | 25k |
servico.htm | 2015-01-09 01:23 | 14k |
servico_pos_venda.htm | 2015-01-09 01:25 | 16k |
sindicato.htm | 2015-01-27 09:24 | 16k |
sistema_social_katz_kahn.htm | 2015-02-06 00:37 | 16k |
sistema_tarifas_diferenciadas.htm | 2015-01-09 01:23 | 14k |
sistemas_abm.htm | 2015-01-27 09:28 | 16k |
sistemas_lideranca_likert.htm | 2015-01-27 09:30 | 17k |
sistinform.htm | 2015-01-27 16:41 | 16k |
skimming_price.htm | 2015-01-27 09:28 | 15k |
smallisbeautiful.htm | 2015-02-06 00:02 | 17k |
smed.htm | 2015-01-27 09:28 | 19k |
sociedadedasorganizacoes.htm | 2015-04-24 22:14 | 23k |
sociedadedoconhecimento.htm | 2015-04-24 22:14 | 19k |
soda.htm | 2015-01-27 09:30 | 14k |
stakeholder.htm | 2015-04-24 22:15 | 22k |
stalkergm.htm | 2015-04-24 22:14 | 30k |
startup.htm | 2015-01-27 09:29 | 18k |
stockativo.htm | 2015-01-09 01:24 | 16k |
stockdeseguranca.htm | 2015-01-09 01:26 | 16k |
subbrands.htm | 2015-04-24 22:14 | 22k |
subordinado.htm | 2015-01-09 01:24 | 16k |
sucesso.htm | 2015-01-09 01:25 | 15k |
sucesso_competitivo.htm | 2015-01-09 01:24 | 14k |
suntzu.htm | 2015-01-09 01:26 | 12k |
supervisor.htm | 2015-01-27 09:28 | 14k |
tableau_de_bord.htm | 2015-04-24 22:15 | 22k |
tarefa.htm | 2015-01-09 01:26 | 14k |
target_costing.htm | 2015-04-24 22:14 | 20k |
taxa_de_actualizacao.htm | 2015-01-27 09:29 | 14k |
taylorfrederick.htm | 2015-01-27 09:28 | 21k |
taylorfrederick.png | 2015-01-09 01:26 | 72k |
taylorismo.htm | 2015-01-27 09:28 | 24k |
team_building.htm | 2015-01-27 09:27 | 14k |
tecnicadegrupogordonlittle.htm | 2015-04-24 22:15 | 19k |
tecnoestrutura.htm | 2015-04-24 22:15 | 17k |
tecnolinform.htm | 2015-01-27 09:29 | 15k |
telemarketing.htm | 2015-01-27 09:29 | 20k |
teoria_comportamental_lideranca.htm | 2015-01-27 09:28 | 15k |
teoria_dos_tracos.htm | 2015-01-27 09:29 | 14k |
teoria_geral_sistemas.htm | 2015-04-24 22:15 | 16k |
teoria_meios_fins.htm | 2015-04-24 22:15 | 19k |
teoriacaminhoobjectivo.htm | 2015-01-27 09:29 | 17k |
teoriacampokurtlewin.htm | 2015-04-24 22:14 | 19k |
teoriadaequidade.htm | 2015-01-27 09:29 | 15k |
teoriadainternalizacao.htm | 2015-01-27 09:27 | 15k |
teoriadasrelacoeshumanas.htm | 2015-04-24 22:14 | 19k |
teoriadoisfactores.htm | 2015-01-27 09:28 | 17k |
teoriadoreforco.htm | 2015-04-24 22:15 | 18k |
teoriadosestagios.htm | 2015-01-27 09:30 | 18k |
teoriaexpectativasvroom.htm | 2015-01-27 09:27 | 14k |
teoriaimperfeicoesmercado.htm | 2015-01-27 09:29 | 16k |
teoriamaturidadeargyris.htm | 2015-01-27 09:27 | 15k |
teorianecessidadesalderfer.htm | 2015-01-27 09:29 | 16k |
teorianecessidadesmcclelland.htm | 2015-01-27 09:30 | 15k |
teoriaredesindustriais.htm | 2015-01-27 09:30 | 13k |
teoriasituacionalherseryblanchard.htm | 2015-04-24 22:14 | 22k |
theoryz.htm | 2015-04-24 22:14 | 16k |
theprinciplesofscinetificmanag.htm | 2015-01-27 09:29 | 14k |
thethirdwave.htm | 2015-01-27 09:27 | 15k |
tic.htm | 2015-04-28 15:01 | 17k |
tir.htm | 2015-04-24 22:14 | 20k |
tir.jpg | 2015-01-09 01:26 | 18k |
tofleralvin.htm | 2015-04-24 22:14 | 17k |
trabalhador.htm | 2015-01-27 09:27 | 15k |
trabalho.htm | 2015-01-09 01:25 | 14k |
traducao.htm | 2015-01-09 01:23 | 6k |
trainee.htm | 2015-01-27 09:28 | 14k |
training.htm | 2015-01-27 09:29 | 14k |
turnover.htm | 2015-01-27 09:27 | 13k |
urwick_lyndall_f.htm | 2015-01-27 09:28 | 14k |
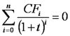
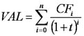
val.htm | 2015-01-27 09:27 | 17k |
val.jpg | 2015-01-09 01:24 | 19k |
valor.htm | 2015-01-09 01:23 | 14k |
valores_organizacionais.htm | 2015-04-24 22:15 | 17k |
value_based_management.htm | 2015-01-27 09:29 | 15k |
vantagem_competitiva.png | 2015-01-09 01:25 | 15k |
vantagemcompetitiva.htm | 2015-01-27 09:30 | 16k |
variaveis_contextuais.htm | 2015-04-24 22:15 | 18k |
vendadirecta.htm | 2015-01-27 09:29 | 16k |
vendadistancia.htm | 2015-01-27 09:30 | 16k |
visa.htm | 2015-01-27 09:28 | 14k |
visao_empresarial.htm | 2015-01-27 09:28 | 15k |
watermanrobert.htm | 2015-04-24 22:14 | 16k |
weber_max.htm | 2015-01-27 09:29 | 14k |
workshop.htm | 2015-01-27 09:28 | 13k |
zscore.htm | 2015-04-24 22:15 | 21k |